15 年
手机商铺
公司新闻/正文
277 人阅读发布时间:2025-02-25 11:16
不论是体外难以感染的细胞做慢病毒文库,还是体内的AAV文库,如何确定最佳的剂量来保证一个靶点只进入到一个细胞一直是老师们困惑的一个问题。
文库实验追求寻找单基因引发的功能变化,因此需要控制一个细胞只进入携带一个靶点的病毒。细胞实验的文库筛选建议先以对照病毒进行预实验摸索最佳MOI(感染效率达80%的MOI),文库操作的MOI=最佳MOI*0.3,即减少三分之二的病毒用量以控制进入单个细胞的病毒数量(简单粗暴的大幅度削减用量减少重复感染数)。但是对于难感染的细胞如免疫细胞,以及体内实验,如何确定最佳的剂量来确保一个靶点只进入到一个细胞是个难题。因为最佳MOI能达到的感染效率可能才为30%,若按1/3用量,几乎就得不到感染上病毒的细胞。
吉凯推出三色荧光(mTagBFP、Venus 、mCherry)病毒,可以帮助研究者更好地进行文库感染预实验。三色荧光病毒含慢病毒和AAV两种产品类型。
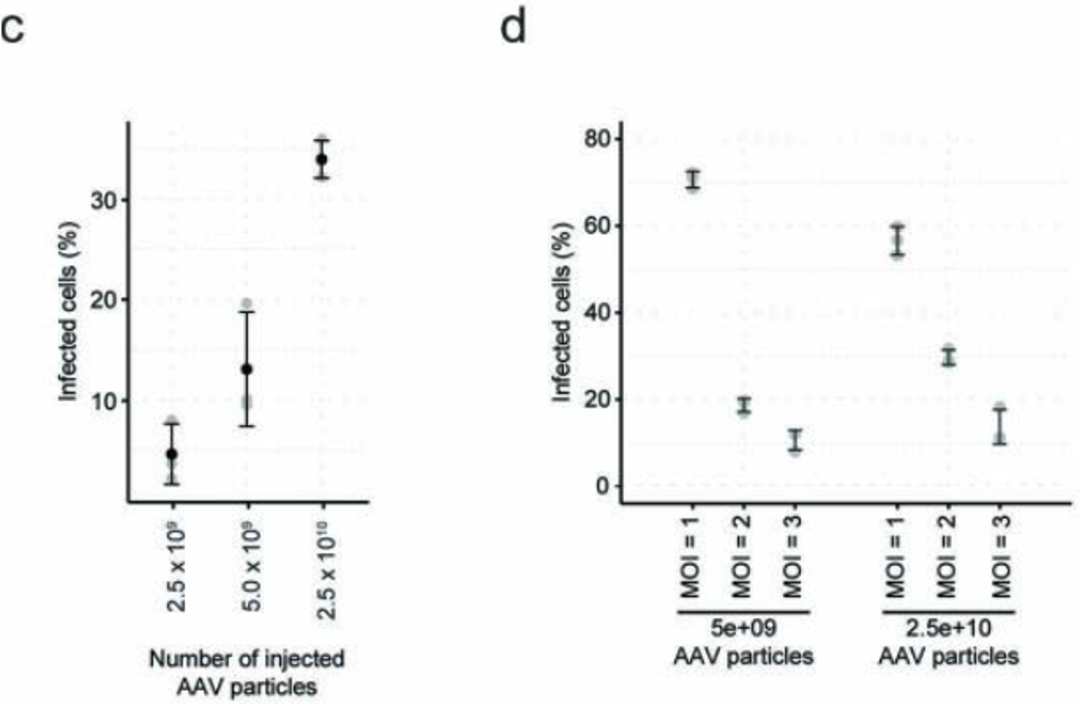
三色荧光病毒的参考《Transcriptional linkage analysis with in vivo AAV-Perturb-seq》,文献在摸索AAV文库体内的剂量上提供了三色荧光病毒的实验方法:为了测试 AAV 是否允许在低感染复数下感染许多细胞,作者进行了体内滴定实验。制备了三种剂量的 AAV,剂量分别是2.5E9、5E9、5E10颗粒数。血清型是php.b。病毒的构建方案是 CBh 启动子的控制下独立表达 mTagBFP、Venus 、mCherry。通过流式筛选的方式可以确定一个较少剂量并且较少双病毒感染同一个细胞的剂量。以此确定为最佳剂量。最终选择了5E9的剂量,因为它使单个AAV感染的细胞总数最大化。

病毒的构建方案:在CBh启动子的控制下用于递送和表达mTagBFP、Venus或mCherry的AAV基因组的示意图

三色实验的示意图:将三种AAV的等比例混合物注射到不同剂量的LSL-Cas9动物中(低剂量2.5 E9;中剂量:5.0 E9; 高剂量:2.5 E10)

左图:全身注射不同病毒剂量后感染细胞核(即表达至少一种荧光蛋白的细胞核)的百分比;右图:表达1个、2个或3个荧光的感染细胞核的百分比。

全身注射5.0 E9个AAV颗粒后4周表达GFP的脑细胞的荧光成像
无论是细胞实验还是动物实验,都可以用三色荧光病毒开展相关预实验。将三色荧光病毒设置不同剂量梯度进行细胞的感染(参考慢病毒感染操作手册)或者小鼠的体内注射(参考动物注射文献),在不同的剂量下,流式分析转染效率和单荧光细胞比例。比较得出单病毒感染比例(即单色荧光细胞数量)最高且感染细胞数量比例多的剂量作为最佳剂量。用最佳剂量作为文库的实际实验剂量。
【参考文献】
Santinha, A.J., Klingler, E., Kuhn, M. et al. Transcriptional linkage analysis with in vivo AAV-Perturb-seq. Nature 622, 367–375 (2023).